More details on the Time of Flight

The TOF detector in ALICE is dedicated to charged particle identification over a very large part of the phase space. The ALICE TOF detector is a large-area array of multigap resistive plate chambers (MRPCs) that cover a cylindrical surface of 141 m2, with an inner radius of 3.7 m. There are approximately 160,000 MRPC pads with a time resolution of about 80 ps distributed over a large surface of 141m2.
Technical Details
The TOF detector has a cylindrical shape, covering polar angles between 45 degrees and 135 degrees over the full azimuth. It has a modular structure with 18 sectors in φ; each of these sectors is divided into 5 modules along the beam direction. The modules contain a total of 1593 detector elements (Multigap Resistive Plain Chamber strips), covering an area of 141 m2 with 152928 readout channels (pads).

Principle of Operation
The MRPC is a stack of resistive glass plates. A high voltage is applied to the external surfaces of the stack. Further out there are pickup electrodes. A charged particle ionises the gas and the high electric field amplifies this ionization by an electron avalanche. The resistive plates stop the avalanche development in each gap; they are however transparent to the fast signal induced on the pickup electrodes by the movement of the electrons. So the total signal is the sum of the signals from all gaps (the reason for many gaps is to achieve high efficiency), whereas the time jitter of the signal depends on the individual gap width (the reason for narrow gaps is to achieve good time resolution).

Detector Description
The detector chosen for the ALICE TOF is the Multigap Resistive Plate Chamber (MRPC), developed within the CERN LAA project. The detector element is a long MRPC strip with an active area of 7.4 × 120 cm2. It has 96 readout pads of 2.5 × 3.5 cm2 arranged in two rows. As shown in the figure of the cross section, it consists of 2 stacks of glass, each with 5 gas gaps of 250 μm; spacers made of nylon fishing line keep the distance between the glass plates fixed.

Click here to read the Technical Design Report for the ALICE TOF and here for the addendum.
Performance
Detector Performance

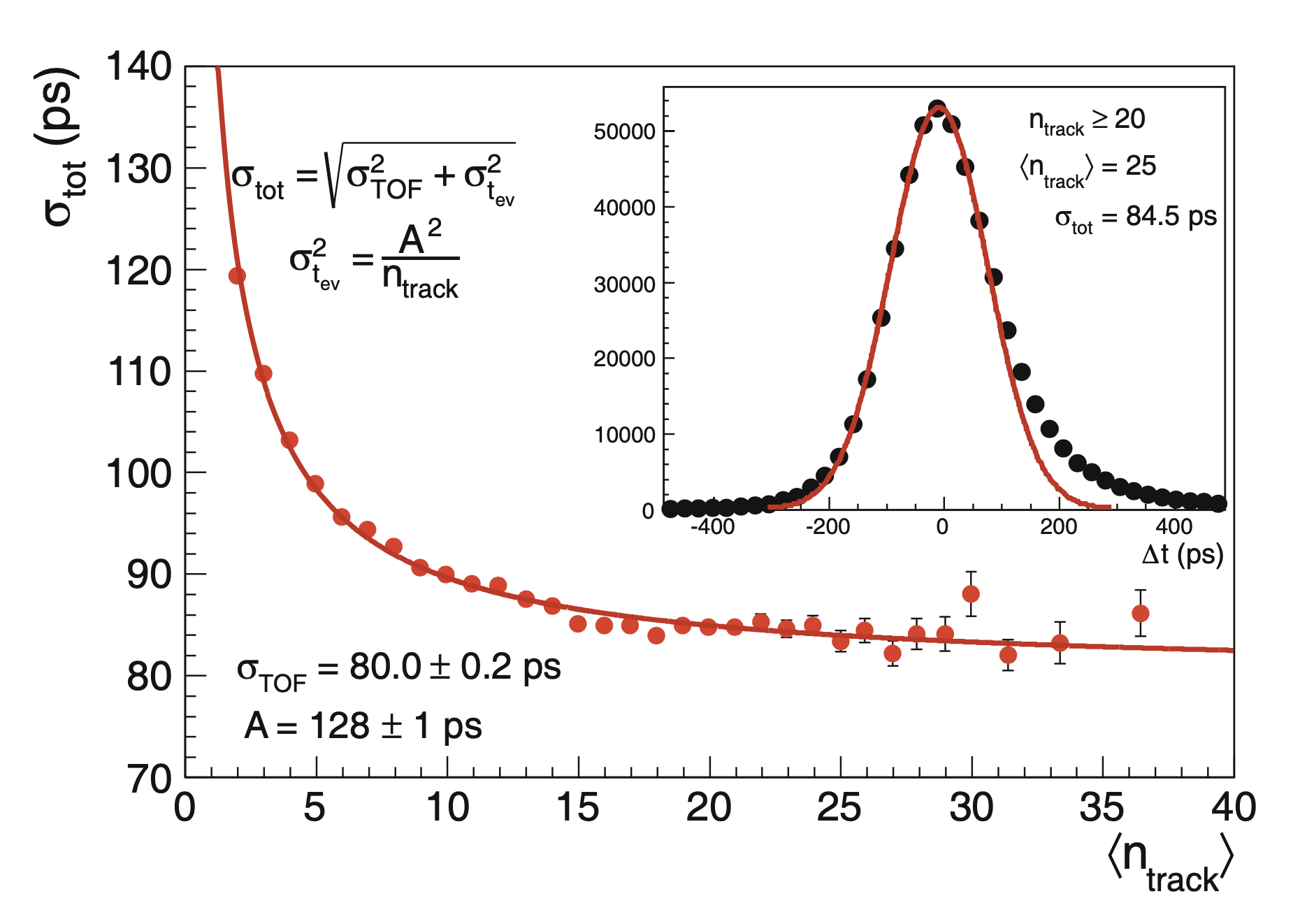
The time resolution of the TOF MRPC is in the 50 ps range, as can be seen in the figure showing the time distribution after slewing correction with an average of 25 tracks used. A typical efficiency and time resolution plateau as a function of the high voltage is more than 2 kV long before the onset of streamers, with efficiency reaching 99.9 %.
The MPRC performance measured at test beam showed a global time resolution better than 50ps, including the jitter contribution of the electronics, and an efficiency close to 100% with a long streamer-free efficiency plateau. However, in the experiment, additional sources of uncertainty in the estimation of the TOF time resolution are present, as contributions from tracking, reconstruction and event time determination. The latter is obtained from the T0 detector or from the TOF information itself when at least three tracks have an associated TOF signal. The TOF event time is obtained by means of a combinatorial algorithm that compares the measured TOF times to the expected times of the tracks, assuming a common event time: in this case, the event time resolution improves like sqrt(n)tracks.

Asymptotically an average total TOF time resolution of 80 ps can be achieved over the full system during normal running conditions. This allows a K/π and p/K three sigma separation at pτ up to 2.5 and 4.0 GeV/c respectively.

Collaboration
The countries that have participated in the construction and in the maintenance and operation of the TOF are Italy, Russia and South Korea.